• Все учреждения
  • Запись к врачу
  • Поиск врача
  • Министерство здравоохранения РТ
Главная→ Медицинские учреждения по Республике Татарстан→ Нижнекамский район→ Ведомственные медицинские организациии→  Медицинский информационно-аналитический центр

Медицинский информационно-аналитический центр

СОУТ

Результаты проверки

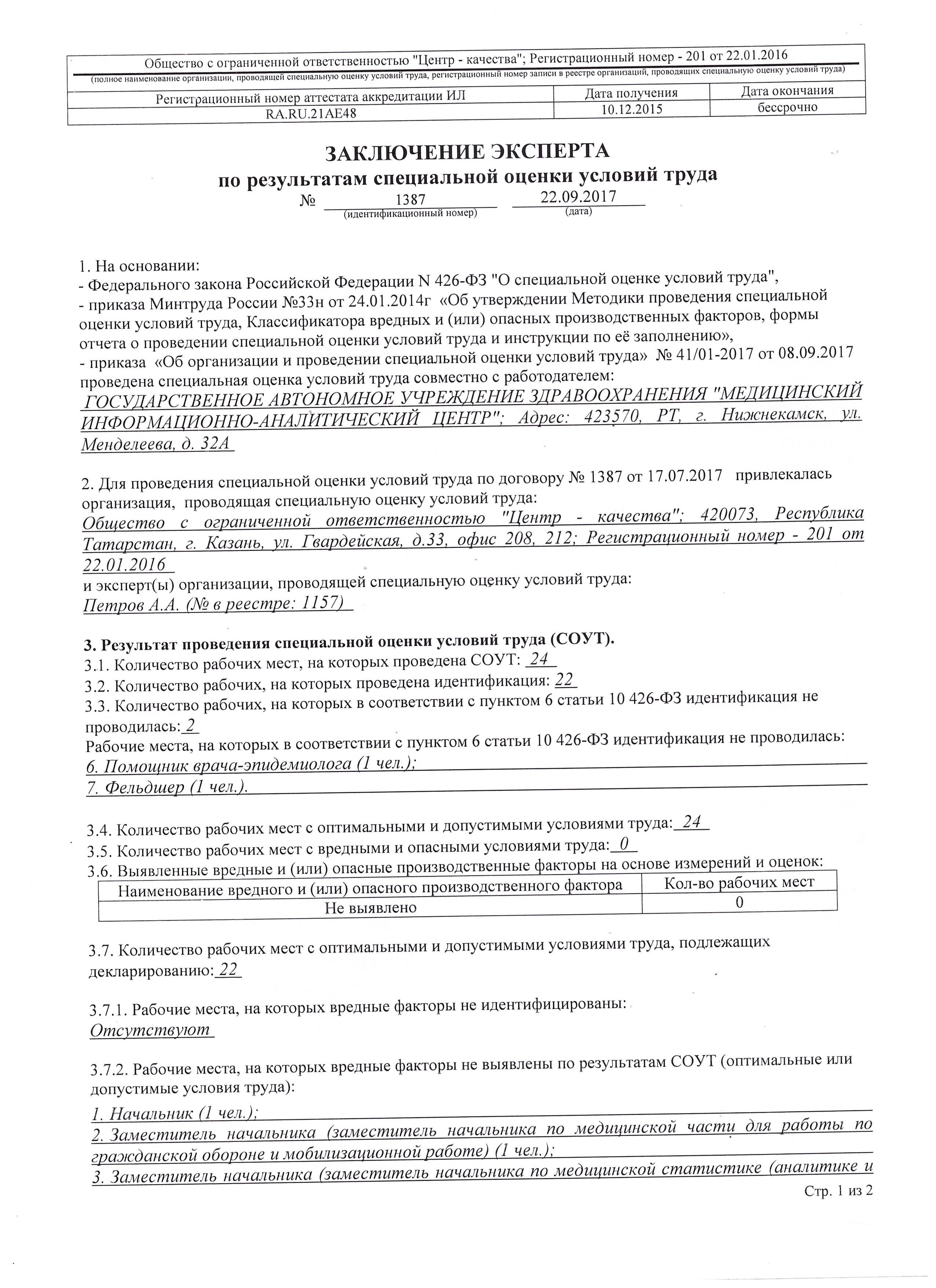
Заключение эксперта по СОУТ
Скачать файл
Заключение эксперта по СОУТ
Скачать файл
Сводная ведомость результатов проведения СОУТ
Скачать файл
Сводная ведомость результатов проведения СОУТ
Скачать файл
Сводная ведомость результатов проведения СОУТ
Скачать файл

  • Информация
  • Реквизиты
  • Программа государственных гарантий
  • Вакансии
  • Документация
  • СОУТ
Copyright © 2013-2026 Министерство информатизации и связи Республики Татарстан.