Новости
БУДЬТЕ БДИТЕЛЬНЫ, НЕ ДАЙТЕ ОБМАНУТЬ СЕБЯ!
Клещевой энцефалит
Да! Мы можем ликвидировать туберкулез!
Работа поликлиники в праздничные дни
❗❗❗Работа поликлиники в праздничные дни❗❗❗
Уважаемы жители района!
Доводим до вашего сведения, что работа поликлиники в праздничные дни будет производиться:
Пн. 02.01.2023 с 9.00 до 12.00
Вт. 03.01.2023 с 9.00 до 12.00
Ср. 04.01.2023 с 9.00 до 12.00
Чт. 05.01.2023 с 9.00 до 12.00
Пт. 06.01.2023 с 9.00 до 12.00
Углубленная диспансеризация после перенесенной коронавирусной инфекции
Углубленная диспансеризация после перенесенной коронавирусной инфекции
В целях информирования застрахованных лиц о проведении углубленной диспансеризации для граждан, перенесших новую коронавирусную инфекцию (COVID-19) филиал Территориального Фонда Обязательного Медицинского Страхования в г. Чистополь информирует:
Переболевшие COVID-19 пациенты могут пройти углубленную диспансеризацию.
Ее цель – выявление признаков развития хронических неинфекционных заболеваний, факторов риска их развития.
КТО может пройти углубленную диспансеризацию:
- в приоритетном порядке - граждане, перенесшие новую коронавирусную инфекцию, при наличии двух и более хронических неинфекционных заболеваний (сахарный диабет, ишемическая болезнь сердца, хроническая обструктивная болезнь легких, бронхиальная астма и другие);
-иные граждане, перенесшие новую коронавирусную инфекцию, спустя 2 месяца после перенесенной инфекции.
ГДЕ проходят углубленную диспансеризацию - в поликлинике, куда гражданин прикреплен для получения первичной медико-санитарной помощи.
КАКИЕ ИССЛЕДОВАНИЯ проводятся при углубленной диспансеризации:
-пульсоксиметрия (определение насыщения крови кислородом)
-спирометрия или спирография (определение дыхательных объемов)
-общий анализ крови развернутый
-биохимический анализ крови
-прием врачом – терапевтом/ВОП
По медицинским показаниям (определяет врач) проводится:
- тест с 6-минутной ходьбой
-определение концентрации Д-димера (показывает наличие/вероятность развития тромбозов)
-рентгенография органов грудной клетки (наличие осложнений после перенесенной ковидной пневмонии – ателектазы, фиброз легочной ткани и т.д).
Второй этап углубленной диспансеризации проводится при выявлении патологических изменений при прохождении вышеуказанных исследований и включает:
- проведение эхокардиографии
- проведение компьютерной томографии легких
-дуплексное сканирование вен нижних конечностей.
Углубленная диспансеризация проводится БЕСПЛАТНО ПО ПОЛИСУ ОМС
ЕСЛИ Вам отказали в прохождении углубленной диспансеризации, звоните в страховую компанию по бесплатному телефону «горячей линии» (указан в полисе ОМС). Страховой представитель адресно разберется в ситуации и поможет Вам.
Если не помог страховой представитель, звоните в Контакт-центр ТФОМС Республики Татарстан (звонок бесплатный) 8(800)-200-51 51.
Неделя контроля АД
Помощь мобилизованным
Молельные комнаты в ГАУЗ "Базарно-Матакская ЦРБ"
неделя здорового питания
Рекомендации COVID-19
Строительство модульного ФАП по Региональной программе в селе Татарское Бурнаево
УЯВ 2022
Гуманитарная помощь для военнослужащих
Национальный проект "Демография"
Итоговый медицинский совет за 2021г. ГАУЗ "Базарно-Матакская ЦРБ"
Всемирный день Твоего здоровья!
Европейская неделя иммунизации
ЕНИ-2021 пройдет 26 апреля - 2 мая
Каждый год в Европейском регионе ВОЗ проходит Европейская неделя иммунизации (ЕНИ), направленная на популяризацию идеи о том, что иммунизация имеет огромное значение для профилактики заболеваний и защиты жизни.
В этом году главной темой ЕНИ станет не только поддержка плановой иммунизации, но и вакцины и вакцинация против COVID-19.
Вакцинация – это одно из наиболее экономически эффективных мероприятий по охране общественного здоровья, она спасает миллионы жизней и защищает огромное количество людей от инфекционных заболеваний и инвалидности.
График работы в праздничные и субботние дни
Информация.
В праздничные дни 04.11.2020 года и 06.11.2020 года , в субботние дни 07.11.2020 и далее по субботам в поликлинике будут вести прием врач участковый терапевт и врач участковый педиатр с 08:00 до 12:00 часов. Скорая медицинская помощь, работает круглосуточно .
Администрация ЦРБ.
Вакцинация 2020 против гриппа
Информация по записи на прием в ДРКБ
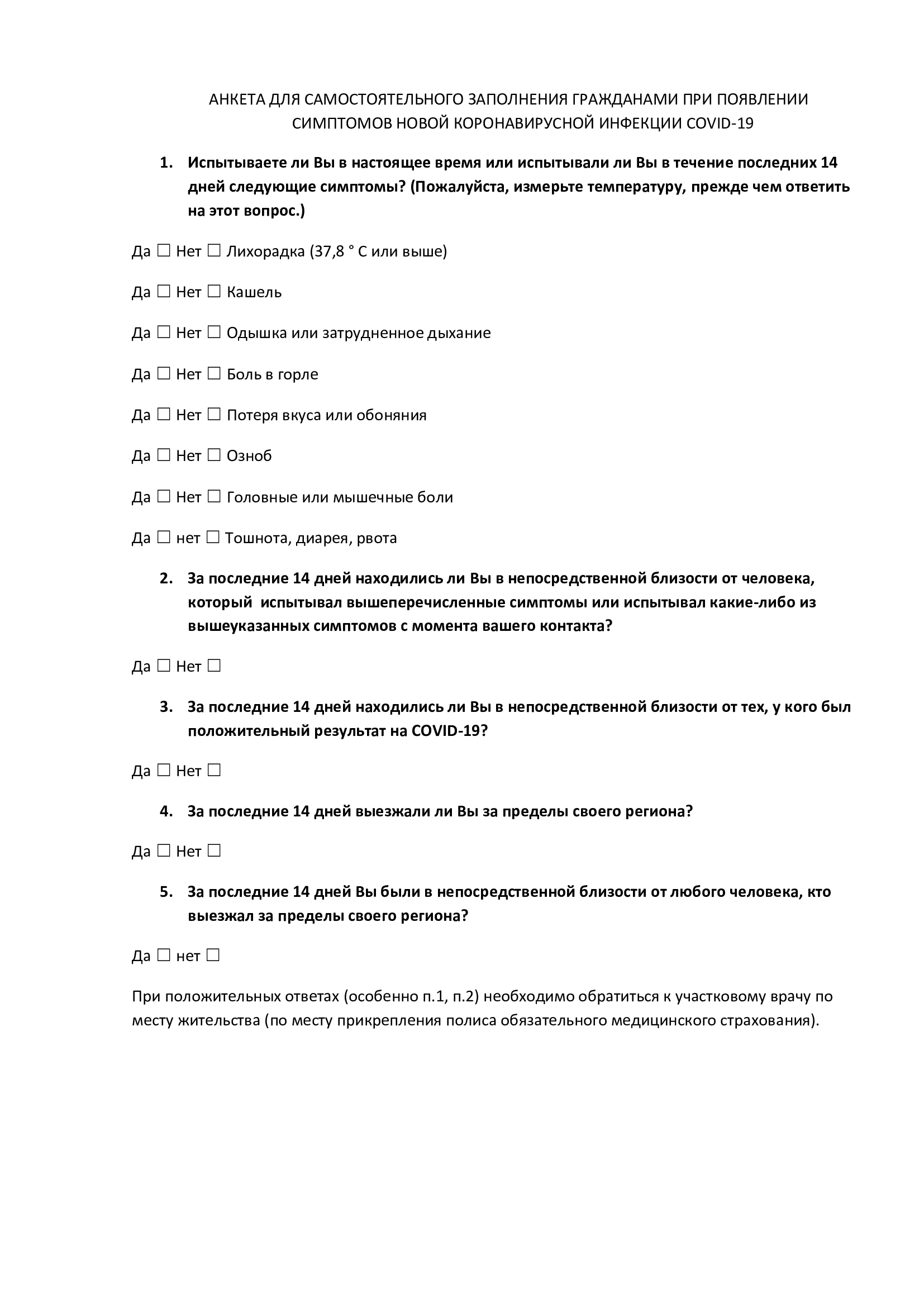
Анкета для самостоятельного заполнения при появлении симптомов новой коронавирусной инфекцииCOVID-19
День династии
12 мая- День медицинской сестры!
Бессмертный полк
Уважаемые жители Алькеевского района и посетители сайта!
В целях нераспространения короновирусной инфекции COVID-19 в Татарстане временно приостановлено оказание плановой амбулаторно-поликлинической помощи и прием на плановую госпитализацию во всех структурных подразделениях ЦРБ . Так же временно приостановлена плановая вакцинация, исключением являются лица подлежащие призыву на военную службу и контракту. Осуществляется дистанционное консультирование по телефону: 8-(84346)-2-08-59
При необходимости амбулаторно-поликлиническая медицинская помощь взрослому и детскому населению по медицинским показаниям будет оказана на дому, в том числе консультации узкими специалистами (невролог, офтальмолог, дерматолог, стоматолог, гинеколог, онколог, хирург и.т.д).
75-летие Великой Победы
Итоги деятельности ГАУЗ "Базарно-Матакская ЦРБ" в 2019 году и задачах на 2020 год
Ангелы в белых халатах
Выписка первого новорожденного в 2020 году
Поздравление от главного врача ГАУЗ "Базарно-Матакская ЦРБ" Одушкиной Светланы Викторовны
Дорогие коллеги! Уважаемые жители района!
Поздравляю вас с наступающим Новым 2020 годом!
Добрым словом вспомним уходящий год, который подарил нам немало достижений и прекрасных минут, обогатил новым опытом и впечатлениями. Уходящий год стал для здравоохранения достаточно сложным, но нам удалось добиться поставленных задач, реализовать многое, что было задумано и наметить пути развития отрасли на будущее.
В 2019 году на территории района продолжалась реализация программы по «Совершенствованию первичной медико-санитарной помощи населению». Мы смогли существенно улучшить материально-техническую базу лечебных учреждений, внедрить систему информатизации отрасли, получили санитарный автотранспорт.
Хочется отметить, что это заслуга в этом специалистов первичного звена. Каждый врач, медицинская сестра, фельдшер, водитель скорой помощи, все заслужили слова благодарности и уважения. Хочется поблагодарить вас за ваш каждодневный труд и стремление сделать жизнь наших пациентов лучше.
Я желаю вам, чтобы вы с удовлетворением оглядывались назад и с оптимизмом смотрели в будущее. Чтобы новогодние желания непременно исполнялись. Чтобы этот добрый праздник вы встретили в кругу родных и близких людей.
В наступающем 2020 году желаю всем медицинским работникам, и всем жителям Алькеевского района конечно здоровья, счастья и благополучия, профессиональных успехов, мира и добра вашим семьям.
С Новым 2020 годом!
Поздравление детей в детском отделении
Доставка лиц старше 65 лет
13 сентября 2019. Новая модульная ВА после завершения строительства в селе Чувашский Брод
День медицинского работника
Набор социальных услуг
Социальный пакет или деньги –успейте сделать выбор до 1 октября.
Федеральным льготникам до 1 октября нужно принять очень важное решение: оставлять набор социальных услуг или отказаться от него. Выбрав компенсацию (863 рубля 75 копеек) стоит помнить, что как только состояние ухудшается, болезнь требует множества лекарств и компенсации становится недостаточно. Отказавшимся от соц.пакета льготникам приходится приобретать лекарственные средства за свой счет, материальные затраты на лечение серьезных заболеваний такие как бронхиальная астма ,онкологические заболевания, ревматоидный полиартрит, сахарный диабет, и тд. исчисляются десятками, а иногда и сотнями тысяч рублей.
Преимущества соц.пакета: бесплатные лекарства по рецепту врача, бесплатное лечение и проведение дорогостоящих операций.
Для возобновления права на получение набора социальных услуг можно до 1 октября 2019года.
Ролик: http://minzdrav.tatarstan.ru/rus/pressa/video.htm/video/5388927.htm

